看似无害的提问,也能偷走RAG系统的记忆——IKEA:隐蔽高效的数据提取攻击新范式
本文作者分别来自新加坡国立大学、北京大学与清华大学。第一作者王宇豪与共同第一作者屈文杰来自新加坡国立大学,研究方向聚焦于大语言模型中的安全与隐私风险。共同通讯作者为北京大学翟胜方博士,指导教师为新加坡国立大学张嘉恒助理教授。
本研究聚焦于当前广泛应用的 RAG (Retrieval-Augmented Generation) 系统,提出了一种全新的黑盒攻击方法:隐式知识提取攻击 (IKEA)。不同于以往依赖提示注入 (Prompt Injection) 或越狱操作 (Jailbreak) 的 RAG 提取攻击手段,IKEA 不依赖任何异常指令,完全通过自然、常规的查询,即可高效引导系统暴露其知识库中的私有信息。
在基于多个真实数据集与真实防御场景下的评估中,IKEA 展现出超过 91% 的提取效率与 96% 的攻击成功率,远超现有攻击基线;此外,本文通过多项实验证实了隐式提取的 RAG 数据的有效性。本研究揭示了 RAG 系统在表面「无异常」交互下潜在的严重隐私风险。
本研究的论文与代码已开源。
总述
大语言模型 (LLMs) 近年来在各类任务中展现出强大能力,但它们也面临一个核心问题:无法直接访问最新或领域特定的信息。为此,RAG (Retrieval-Augmented Generation) 系统应运而生——它为大模型接入外部知识库,让生成内容更准确、更实时。
然而,这些知识库中往往包含私有或敏感信息。一旦被恶意利用,可能导致严重的数据泄露。以往的攻击方式多依赖明显的「恶意输入」,比如提示注入或越狱攻击。这类攻击虽然有效,但也有着输入异常、输出重复等典型特征,容易被防御系统识别和拦截。
图1: 使用恶意查询进行逐字信息提取与使用良性查询进行知识提取 (IKEA) 之间的对比
为突破防御机制对现有提取攻击的限制,本文提出了一种全新的隐式知识抽取框架:IKEA (Implicit Knowledge Extraction Attack)。该方法不依赖任何越权指令或特异化提示语,而是通过自然、常规的查询输入,逐步引导 RAG 系统暴露其内部知识库中的私有或敏感信息。IKEA 的攻击流程具备高度自然性与隐蔽性。
其核心步骤包括:首先,基于已知的系统主题构建一组语义相关的锚点概念 (Anchor concepts);随后,围绕这些概念生成符合自然语言习惯的问题,用于触发系统检索相关文档;最终,通过两项关键机制对攻击路径进行优化与扩展:
经验反思采样 (Experience Reflection Sampling):依据历史查询与响应记录,动态评估并筛选出更可能产生有效响应的锚点概念,从而提升查询的相关性与信息提取率;可信域有向变异 (Trust Region Directed Mutation):在锚点语义邻域中进行定向概念扩展,通过控制语义相似度与突进性,实现对尚未覆盖知识区域的持续探索。上述机制协同工作,使得攻击过程在保持输入自然性的同时,能够在多轮交互中高效提取 RAG 系统所依赖的外部知识内容。实验证明,IKEA 可在常规输入检测与输出过滤等防御机制下维持高成功率与提取效率,展现出强大的鲁棒性与现实威胁潜力。
方法概览:如何实现「看似正常」的提问?
具体而言,IKEA 首先从与系统主题相关的概念词中筛选出可能有效的锚点概念,并结合历史响应信息过滤无关或无效的概念。
锚点概念数据库的初始化如下:
随后,系统围绕这些锚点概念自动生成语义自然、表达通顺的问题,引导 RAG 返回内容丰富的答案,从而在多轮交互中不断扩大对隐私知识的覆盖。这种策略使攻击过程更加隐蔽,难以被传统检测手段发现。下文给出了「良性」问题的具体生成方式:
该方法设计了两项关键机制以确保知识提取效率:
经验反思采样 (Experience Reflection Sampling)可信域有向变异 (Trust Region Directed Mutation, TRDM)经验反思采样 (Experience Reflection Sampling)
在 IKEA 的攻击过程中,攻击者会维护一个历史记录,用于记录每轮的查询–响应对。系统会根据这些历史信息判断哪些锚点概念是无效的,即无法引导 RAG 返回有用知识。该判断依据包括:

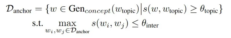
每个候选锚点概念的采样概率由如下惩罚得分函数定义:
最终的采样概率为:
可信域有向变异 (Trust Region Directed Mutation)
图 2: (左) IKEA 整体流程图;(右) TRDM 示意图
为了进一步覆盖 RAG 知识库中的未知区域,IKEA 提出了 TRDM 机制。该机制的核心思想是:从当前有效的查询-响应对出发,在其「语义可信域」内搜索一个新的锚点词
,以引导提问逐步迈向尚未被覆盖的知识区域。具体地,TRDM 利用多个查询-响应对之间的相似度来估计从原始查询指向潜在 RAG 数据条目的「方向」。通过控制新的锚点概念位于响应语义邻域内,并在该邻域中寻找与原始查询最不相似的词项,TRDM 实现了「沿语义方向移动锚点」,以探索新的知识片段。其定义如下:
其中:



此外,为避免锚点词在同一语义区域内发生无效重复生成,IKEA 定义了变异停止函数,当以下任一条件满足时返回 True,停止变异:
TRDM 会持续迭代执行,直到返回 True,随后重新从
中采样进行下一轮探索。
实验结果:IKEA 的提取效率远超基线方法
研究团队在三个不同领域数据集 (医疗-HealthCareMagic100k、小说-HarryPotter、百科-Pokémon) 上测试了 IKEA 攻击效果。以下是 IKEA 与其他攻击方法在「无防御」、「输入检测」、「输出过滤」三种防御策略下的比较:
表 1: 在三种数据集上不同防御策略下的攻击效果对比分析
提取知识是否「有用」?研究团队围绕知识有效性开展了两类实验:其一,评估提取出的知识在对应文档相关的问答任务中的表现;其二,评估在有限轮次攻击下所提取知识对完整知识库的覆盖与支撑能力。实验结果表明,IKEA 不仅能够高效提取 RAG 系统中的信息,而且所提取的知识在问答任务中展现出良好的实用性,其性能接近于使用原始知识库时的表现。
提取知识有效性评估。我们在三个数据集上评估 IKEA 提取知识在 MCQ 与 QA 任务中的效果,并与原始片段和无参考场景进行对比。结果显示,在双重防御下提取的知识显著提升了回答的准确性与质量。Extracted表示使用 IKEA 提取的文本片段构建的知识库,Origin 代表评估数据集中原始的参考片段,Empty则表示在回答问题时未提供任何参考上下文。图 3: 在三种不同知识库设定下的选择题 (MCQ) 与问答 (QA) 任务结果对比
表 2: 在不同防御与不同基线下提取的知识作为参考的选择题与问答任务结果对比
使用提取知识构建的替代 RAG 系统进行在完整 Pokémon 数据集上评估。IKEA 提取的知识用于多项选择 (MCQ) 和开放式问答 (QA) 任务时,表现显著优于其他攻击方法:表 3: 基于不同攻击方法提取数据构建的 RAG 系统在完整知识库上的评估结果
总结
IKEA 攻击提出了一种全新且高度隐蔽的 RAG 系统攻击范式。借助自然语言生成策略与基于历史交互的经验反馈机制,IKEA 能有效规避现有输入与输出层面的防御措施,实现对系统中敏感知识的持续、高效提取。本研究揭示了 RAG 系统在知识提取上的潜在脆弱性,为后续更全面的防御机制设计提供了关键参考。